News & Articles
The future of genetic counseling is in technology
Lauren Ryan
As demand for genetic testing skyrockets, one of the hardest challenges we face is growing and innovating to make sure genetic counseling remains available for those who need it. Genetic counseling, the process of helping people understanding genetic testing and make the information meaningful for their health and their families, is a valuable resource to support those who are considering, or in the process of, taking a genetic test.
However, the genetic counseling community is still relatively small, though rapidly expanding. As Erica Ramos mentioned in her recent blog post in our Genetic Counselor Column, genetic counseling is expected to grow 75% in the next ten years, and even that may not keep up with the demand for our services. One way to increase access to genetic counseling, as Erica puts it beautifully, is to combine “the high-tech and the high-touch.”
At Color, we’re all about using 21st century technology to solve healthcare’s big problems. We developed a custom, state-of-the-art software that was specifically designed by our talented software engineers based on input from the genetic counseling team about what we need. Technology can be easily used to automate many processes that are typically done manually in hospitals and clinics, like collecting health history information, scheduling appointments, sharing documents and summaries, and follow up about updates to the report over time.

Through this model, genetic counselors at Color spend drastically less time on administrative work outside of actually caring for our clients. Previous studies have shown that industry averages can range from 3 to 7 hours spent by a genetic counselor on each patient, with the majority of that time being spent on other, indirect tasks. We recently presented a study at the 2018 BRCA Symposium in Montreal, Canada, showing how our genetic counselors spend an average of 37 minutes per patient, with more than half of that time spent directly interacting with our clients. This model better uses our skills and training while also increasing our capacity and efficiency — a win/win for the team and those we serve!

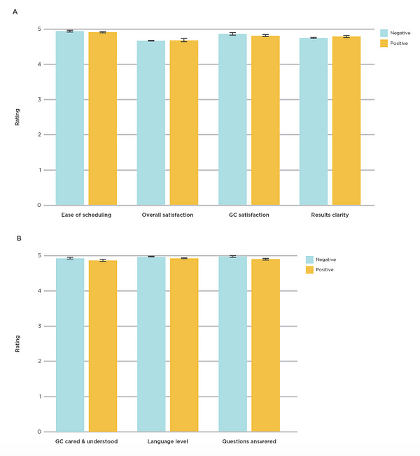
Color’s clients also give very high satisfaction scores from their experience, likely because they are able to easily get an appointment within a day or so and can speak with a specialist at their convenience in the comfort of their home, office, or whatever they prefer.

Customized software that can automatically do the work that would otherwise need to be done by genetic counselors is one big way to increase access, without sacrificing quality. Investing in technology is necessary for the entire field of genetics, and specifically genetic counseling, so we can keep up with demand and ensure we are on the forefront of this booming industry!